蔡勒公式是一种计算任何一日属一星期中哪一日的算法,由蔡勒(Julius Christian Johannes Zeller)推算出。
公式都是基于公历的置闰规则来考虑。
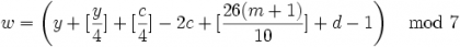
公式中的符号含义如下:
- w:星期
- c:世纪(前两位数)
- y:年(后两位数)
- m:月(m 的取值范围为 3 至 14,即在蔡勒公式中,某年的 1、2月要看作上一年的 13、14月来计算,比如2003年1月1日要看作2002年的13月1日来计算)
- d:日
- [ ]:称作高斯符号,代表取整,即只要整数部份。
- mod:同余(这里代表括号里的答案除以 7 后的余数)(请注意前面是负数取模的情况,取模只可以是正数)
若要计算的日期是在1582年10月4日或之前,公式则为
(因罗马教皇修改历法,把1582年10月4日的下一天改为1582年10月15日)
PHPMailer里面对于Email的正则表达式让很多人看了头疼,其实我看了也头疼,但借助一些工具,加上一些经验,还是能慢慢把有效信息剥离出来的。 首先推荐一个分析正则表达式的网站 https://regex101.com/ 。之前的很多网站,遇到今天这个正则…
© 版权声明
文章版权归作者所有,未经允许请勿转载。
THE END
喜欢就支持一下吧





















请登录后发表评论
注册